Factors Influencing Learning Achievement in Business Mathematics of Vocational Certificate Students at Rajamangala University of Technology Suvarnabhumi
Main Article Content
Abstract
This study aimed to 1) examine the relationship between factors influencing academic achievement in Business Mathematics and 2) develop a predictive equation for vocational certificate students at Rajamangala University of Technology Suvarnabhumi. The sample consisted of 100 students enrolled in the Business Mathematics course during the second semester of the 2023 academic year, selected through simple random sampling. The research instrument was a questionnaire that had been validated for content validity and demonstrated high reliability. Data were analyzed using descriptive statistics and ordinal logistic regression.
The results showed that students perceived all factors as high to very high in influence/importance. Among these, the instructor factor received the highest mean score, followed by the family and environment factors, while the student factor obtained the lowest mean score but was still at a high level. However, the ordinal logistic regression revealed that only the student factor had a statistically significant effect on academic achievement
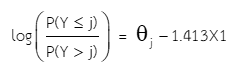
(p < 0.05). Students who exhibited desirable learning behaviors, such as paying attention in class, asking questions when unclear, reviewing lessons regularly, and actively participating, were 4.11 times more likely to achieve higher performance. In contrast, the instructor, family, and environmental factors, although perceived as important, showed no statistical significance. The regression analysis produced the following predictive equation for academic achievement.

Article Details

This work is licensed under a Creative Commons Attribution-NonCommercial-NoDerivatives 4.0 International License.
- ต้นฉบับที่ได้รับการตีพิมพ์ในวารสารวิชาการ มหาวิทยาลัยราชภัฏบุรีรัมย์ สาขามนุษยศาสตร์และสังคมศาสตร์ ถือเป็นกรรมสิทธิ์ของมหาวิทยาลัยราชภัฏบุรีรัมย์ ห้ามนำข้อความทั้งหมดหรือบางส่วนไปพิมพ์ซ้ำเว้นเสียแต่ว่าจะได้รับอนุญาตจากมหาวิทยาลัยฯ เป็นลายลักษณ์อักษร
- เนื้อหาต้นฉบับที่ปรากฏในวารสารเป็นความรับผิดชอบของผู้เขียน ทั้งนี้ไม่รวมความผิดพลาด อันเกิดจากเทคนิคการพิมพ์
References
กระทรวงศึกษาธิการ. (2562). หลักสูตรแกนกลางการศึกษาขั้นพื้นฐาน พุทธศักราช 2551 (ปรับปรุง พ.ศ. 2562). โรงพิมพ์ชุมนุมสหกรณ์การเกษตรแห่งประเทศไทย.
ธานินทร์ ศิลป์จารุ. (2557). การวิจัยและวิเคราะห์ข้อมูลทางสถิติด้วย SPSS และ AMOS (พิมพ์ครั้งที่ 15). โรงพิมพ์ เอส อาร์ พริ้นติ้ง แมสโปรดักส์.
นิษรา พรสุริวงษ์. (2564). ปัจจัยที่ส่งผลต่อผลสัมฤทธิ์ทางการเรียนรายวิชาคณิตศาสตร์ของนักศึกษา มหาวิทยาลัยนอร์ทกรุงเทพ. วารสารวิจัยทางวิทยาศาสตร์และเทคโนโลยี, 13(2), 45–56.
แพรวพรรณ เปลี่ยนภู่. (2542). ปัจจัยที่มีอิทธิพลต่อแรงจูงใจใฝ่สัมฤทธิ์ของนักเรียนในจังหวัดชายแดนภาคใต้. วารสารครุศาสตร์, 26(3), 55–66.
มหาวิทยาลัยราชภัฏยะลา. (2551). แผนยุทธศาสตร์การจัดการศึกษาเพื่อพัฒนาคุณภาพชีวิต. ยะลา: สำนักพิมพ์มหาวิทยาลัยราชภัฏยะลา.
สถาบันวิจัยไทย. (2564). รายงานการวิจัยเรื่อง ปัจจัยที่มีผลต่อผลสัมฤทธิ์ทางการเรียนของนักเรียนระดับมัธยมศึกษา. สถาบันวิจัยไทย.
สำนักงานคณะกรรมการการอาชีวศึกษา. (2565). มาตรฐานการจัดการเรียนการสอนอาชีวศึกษา พ.ศ. 2565. กระทรวงศึกษาธิการ.
สำนักงานคณะกรรมการการศึกษาขั้นพื้นฐาน. (2566). รายงานสรุปผลการขับเคลื่อนนโยบายและแผนด้านการศึกษาปีงบประมาณ พ.ศ. 2565. กระทรวงศึกษาธิการ. สืบค้นจาก https://www.obec.go.th.
เสาวณีย์ ศรีรัตน์. (2566). ปัจจัยที่มีอิทธิพลต่อผลสัมฤทธิ์ทางการเรียนของนักเรียนในรายวิชาคณิตศาสตร์. วารสารวิจัยเพื่อพัฒนาชุมชน, 15(2), 112–125.
แสนตั้ง พรพรรณ. (2562). ผลของการจัดกิจกรรมการเรียนรู้ตามแนวจิตตปัญญาศึกษาที่มีต่อแรงจูงใจใฝ่สัมฤทธิ์ทางการเรียนวิชาคณิตศาสตร์ของนักเรียนชั้นมัธยมศึกษาปีที่ 3. วารสารครุศาสตร์ปริทรรศน์, 36(2), 115–129.
อัมพร ม้าคนอง. (2556). คณิตศาสตร์ธุรกิจ: แนวคิดและการประยุกต์ใช้. กรุงเทพฯ: จุฬาลงกรณ์มหาวิทยาลัย.
Bronfenbrenner, U. (1979). The ecology of human development: Experiments by nature and design. Harvard University Press.
Gumasing, M. J. J., & Castro, J. L. (2023). Learning motivation and ergonomics in student performance: A correlational study. International Journal of Multidisciplinary Research and Publications, 6(1), 21–27.
Hager, P., Keane, T., & Brockman, R. (2022). Motivational factors influencing learners’ academic success: A mixed-methods approach. Journal of Social Studies Education Research, 13(4), 97–119.
Józsa, K., Barrett, K. C., & Morgan, G. A. (2022). Predictors of intention of learning in higher education: Motivation, self-handicapping, and executive function. Education Sciences, 12(12), 906. https://doi.org/10.3390/educsci12120906.
Likert, R. (2017). The method of constructing an attitude scale. Routledge.
Ma, X., & Kishor, N. (1997). Assessing the relationship between attitude toward mathematics and achievement in mathematics: A meta-analysis. Journal for Research in Mathematics Education, 28(1), 26–47. https://doi.org/10.2307/749662.
Menard, S. (2010). Applied logistic regression analysis (2nd ed.). SAGE Publications.
Peng, C. J., Lee, K. L., & Ingersoll, G. M. (2002). An introduction to logistic regression analysis and reporting. The Journal of Educational Research, 96(1), 3–14. https://doi.org/10.1080/00220670209598786.
Pintrich, P. R., & De Groot, E. V. (1990). Motivational and self-regulated learning components of classroom academic performance. Journal of Educational Psychology, 82(1), 33– 40.
https://doi.org/10.1037/0022-0663.82.1.33
Robbins, S. B., Lauver, K., Le, H., Davis, D., Langley, R., & Carlstrom, A. (2004). Do psychosocial and study skill factors predict college outcomes? A meta-analysis. Psychological Bulletin, 130(2), 261–288. https://doi.org/10.1037/0033-2909.130.2.261.
Rogers, C. R. (1983). Freedom to learn for the 80s. Charles E. Merrill Publishing Company.
Vygotsky, L. S. (1978). Mind in society: The development of higher psychological processes. Harvard University Press.
Zimmerman, B. J. (2002). Becoming a self-regulated learner: An overview. Theory Into Practice, 41(2), 64–70. https://doi.org/10.1207/s15430421tip4102_2.